NUV Grating G285M
Description
The G285M grating samples wavelengths between about 2500 and 3200 Å. The grating has 17 central-wavelength settings.
Special Considerations
G285M spectra consist of three 41 Å stripes separated by two 74 Å gaps. To acquire a complete spectrum requires the use of eight central-wavelength settings.
Because of declining throughput, NUV observations with the G285M grating are available but unsupported (See Section 5.11). Users interested in medium-resolution spectroscopic coverage of the wavelength region from 2500 to 3200 Å are encouraged to use STIS instead. The material in this section demonstrates the sensitivity of G285M in 2016, when it was much greater.
| Grating | Resolving Power R = λ/Δλ | Dispersion (mÅ pixel−1) | Spatial Resolution (milliarcsec pixel−1) | Plate Scale (milliarcsec pixel−1) | FP-POS Step (Å step−1) | |
|---|---|---|---|---|---|---|
| Disp. Axis | Cross-Disp. Axis | |||||
| G285M | 20,000–24,000 | 40 | 56 ± 1 | 24.3 | 24.4 | 2.1 |
Figure 13.23: Wavelength Ranges for the G285M Grating.
Dark lines represent wavelengths sampled by all four FP-POS positions.
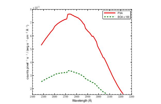
G285M Point-Source Sensitivity
Table 13.10: G285M Point-Source Sensitivity for PSA.
| Wavelength (Å) | Throughput | Sensitivity (counts pixel−1 sec−1 per erg cm−2 sec−1 Å−1) | Effective Area (cm2) |
|---|---|---|---|
| 2480 | 2.316e−03 | 5.3e+11 | 1.05e+02 |
| 2500 | 2.403e−03 | 5.6e+11 | 1.09e+02 |
| 2550 | 2.595e−03 | 6.1e+11 | 1.17e+02 |
| 2600 | 2.791e−03 | 6.7e+11 | 1.26e+02 |
| 2650 | 2.878e−03 | 7.0e+11 | 1.30e+02 |
| 2700 | 2.906e−03 | 7.2e+11 | 1.31e+02 |
| 2750 | 3.002e−03 | 7.6e+11 | 1.36e+02 |
| 2800 | 2.863e−03 | 7.4e+11 | 1.30e+02 |
| 2850 | 2.682e−03 | 7.1e+11 | 1.21e+02 |
| 2900 | 2.390e−03 | 6.4e+11 | 1.08e+02 |
| 2950 | 2.194e−03 | 6.0e+11 | 9.92e+01 |
| 3000 | 1.829e−03 | 5.1e+11 | 8.28e+01 |
| 3050 | 1.532e−03 | 4.3e+11 | 6.93e+01 |
| 3100 | 1.197e−03 | 3.4e+11 | 5.42e+01 |
| 3150 | 8.866e−04 | 2.6e+11 | 4.01e+01 |
| 3200 | 6.297e−04 | 1.9e+11 | 2.85e+01 |
| 3229 | 5.211e−04 | 1.6e+11 | 2.36e+01 |
Figure 13.24: G285M Point-Source Sensitivity for PSA and BOA.
G285M Signal-to-Noise Ratio
Figure 13.25: Point-Source Signal-to-Noise as a Function of STMAG for G285M.
The top axis displays constant Fλ values corresponding to the STMAG units (V+STMAGλ) on the bottom axis. Recall that STMAG = 0 is equivalent to Fλ = 3.63E−9 erg cm−2 s−1 Å−1. Colors refer to exposure times in seconds. The edge of the shaded area corresponds to the bright-object screening limit. Use of the PSA is assumed.
-
COS Instrument Handbook
- Acknowledgments
- Chapter 1: An Introduction to COS
- Chapter 2: Proposal and Program Considerations
- Chapter 3: Description and Performance of the COS Optics
- Chapter 4: Description and Performance of the COS Detectors
-
Chapter 5: Spectroscopy with COS
- 5.1 The Capabilities of COS
- • 5.2 TIME-TAG vs. ACCUM Mode
- • 5.3 Valid Exposure Times
- • 5.4 Estimating the BUFFER-TIME in TIME-TAG Mode
- • 5.5 Spanning the Gap with Multiple CENWAVE Settings
- • 5.6 FUV Single-Segment Observations
- • 5.7 Internal Wavelength Calibration Exposures
- • 5.8 Fixed-Pattern Noise
- • 5.9 COS Spectroscopy of Extended Sources
- • 5.10 Wavelength Settings and Ranges
- • 5.11 Spectroscopy with Available-but-Unsupported Settings
- • 5.12 FUV Detector Lifetime Positions
- • 5.13 Spectroscopic Use of the Bright Object Aperture
- Chapter 6: Imaging with COS
- Chapter 7: Exposure-Time Calculator - ETC
-
Chapter 8: Target Acquisitions
- • 8.1 Introduction
- • 8.2 Target Acquisition Overview
- • 8.3 ACQ SEARCH Acquisition Mode
- • 8.4 ACQ IMAGE Acquisition Mode
- • 8.5 ACQ PEAKXD Acquisition Mode
- • 8.6 ACQ PEAKD Acquisition Mode
- • 8.7 Exposure Times
- • 8.8 Centering Accuracy and Data Quality
- • 8.9 Recommended Parameters for all COS TA Modes
- • 8.10 Special Cases
- Chapter 9: Scheduling Observations
-
Chapter 10: Bright-Object Protection
- • 10.1 Introduction
- • 10.2 Screening Limits
- • 10.3 Source V Magnitude Limits
- • 10.4 Tools for Bright-Object Screening
- • 10.5 Policies and Procedures
- • 10.6 On-Orbit Protection Procedures
- • 10.7 Bright Object Protection for Solar System Observations
- • 10.8 SNAP, TOO, and Unpredictable Sources Observations with COS
- • 10.9 Bright Object Protection for M Dwarfs
- Chapter 11: Data Products and Data Reduction
-
Chapter 12: The COS Calibration Program
- • 12.1 Introduction
- • 12.2 Ground Testing and Calibration
- • 12.3 SMOV4 Testing and Calibration
- • 12.4 COS Monitoring Programs
- • 12.5 Cycle 17 Calibration Program
- • 12.6 Cycle 18 Calibration Program
- • 12.7 Cycle 19 Calibration Program
- • 12.8 Cycle 20 Calibration Program
- • 12.9 Cycle 21 Calibration Program
- • 12.10 Cycle 22 Calibration Program
- • 12.11 Cycle 23 Calibration Program
- • 12.12 Cycle 24 Calibration Program
- • 12.13 Cycle 25 Calibration Program
- • 12.14 Cycle 26 Calibration Program
- • 12.15 Cycle 27 Calibration Program
- • 12.16 Cycle 28 Calibration Program
- • 12.17 Cycle 29 Calibration Program
- • 12.18 Cycle 30 Calibration Program
- • 12.19 Cycle 31 Calibration Program
- • 12.20 Cycle 32 Calibration Program
- • 12.21 Cycle 33 Calibration Program
- Chapter 13: COS Reference Material
- • Glossary


