6.1 Introduction to COS Imaging
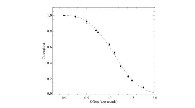
The COS NUV channel has a plate scale of 23.5 mas per pixel, which provides the highest spatial sampling of any instrument aboard HST. Figure 6.1 shows an image of Pluto and its moon Charon obtained with COS. COS images are fully corrected for the telescope's spherical aberration, though not for the zonal (polishing) errors on its primary and secondary mirrors (Section 3.3). Because the optics image the sky onto the detector, rather than the aperture, COS images extend to a radius of 2 arcsec, but suffer considerable vignetting at radii greater than 0.4 arcsec, as shown in Figure 6.2.
To request an imaging observation specify CONFIG=COS/NUV and MODE=TIME-TAG or ACCUM. In TIME-TAG mode the minimum BUFFER-TIME is 80 seconds, which may be longer than the expected exposure time. ACCUM mode is recommended for such short exposures. The minimum COS exposure duration is 0.1 s, as discussed in Section 5.3. MIRRORB and/or the BOA can be used to obtain images of bright objects, but at some cost in spatial resolution; see Section 8.4 for details.
For long exposures, drifting of the Optics Select Mechanisms (OSMs) can be significant, ~3.5 pixels in the x dimension with an e-folding time of ~50 minutes (COS ISR 2010-10). Observers taking images with exposure times longer than ~200 s are urged to use MODE=TIME-TAG and FLASH=YES. The resulting lamp flash will illuminate the WCA, allowing one to track the drift accurately. By default, FLASH=NO for all imaging modes.
COS imaging in TIME-TAG mode allows for high-speed NUV photometry with a temporal resolution of 32 ms. STIS is capable of much finer time resolution (125 μs), but at lower sensitivity.
Figure 6.1: Pluto and Charon Observed with COS.
NUV exposure of Pluto and Charon, separated by 0.8 arcsec. The exposure time is 25 s. Note that the pixel numbers refer only to this sub-section of the full image. Image courtesy of J. Green.
Figure 6.2: Relative Throughput of the COS PSA in NUV Imaging Mode.
Throughput variation as a function of the offset position. See "COS NUV Image Performance" (COS ISR 2010-10).
-
COS Instrument Handbook
- Acknowledgments
- Chapter 1: An Introduction to COS
- Chapter 2: Proposal and Program Considerations
- Chapter 3: Description and Performance of the COS Optics
- Chapter 4: Description and Performance of the COS Detectors
-
Chapter 5: Spectroscopy with COS
- 5.1 The Capabilities of COS
- • 5.2 TIME-TAG vs. ACCUM Mode
- • 5.3 Valid Exposure Times
- • 5.4 Estimating the BUFFER-TIME in TIME-TAG Mode
- • 5.5 Spanning the Gap with Multiple CENWAVE Settings
- • 5.6 FUV Single-Segment Observations
- • 5.7 Internal Wavelength Calibration Exposures
- • 5.8 Fixed-Pattern Noise
- • 5.9 COS Spectroscopy of Extended Sources
- • 5.10 Wavelength Settings and Ranges
- • 5.11 Spectroscopy with Available-but-Unsupported Settings
- • 5.12 FUV Detector Lifetime Positions
- • 5.13 Spectroscopic Use of the Bright Object Aperture
- Chapter 6: Imaging with COS
- Chapter 7: Exposure-Time Calculator - ETC
-
Chapter 8: Target Acquisitions
- • 8.1 Introduction
- • 8.2 Target Acquisition Overview
- • 8.3 ACQ SEARCH Acquisition Mode
- • 8.4 ACQ IMAGE Acquisition Mode
- • 8.5 ACQ PEAKXD Acquisition Mode
- • 8.6 ACQ PEAKD Acquisition Mode
- • 8.7 Exposure Times
- • 8.8 Centering Accuracy and Data Quality
- • 8.9 Recommended Parameters for all COS TA Modes
- • 8.10 Special Cases
- Chapter 9: Scheduling Observations
-
Chapter 10: Bright-Object Protection
- • 10.1 Introduction
- • 10.2 Screening Limits
- • 10.3 Source V Magnitude Limits
- • 10.4 Tools for Bright-Object Screening
- • 10.5 Policies and Procedures
- • 10.6 On-Orbit Protection Procedures
- • 10.7 Bright Object Protection for Solar System Observations
- • 10.8 SNAP, TOO, and Unpredictable Sources Observations with COS
- • 10.9 Bright Object Protection for M Dwarfs
- Chapter 11: Data Products and Data Reduction
-
Chapter 12: The COS Calibration Program
- • 12.1 Introduction
- • 12.2 Ground Testing and Calibration
- • 12.3 SMOV4 Testing and Calibration
- • 12.4 COS Monitoring Programs
- • 12.5 Cycle 17 Calibration Program
- • 12.6 Cycle 18 Calibration Program
- • 12.7 Cycle 19 Calibration Program
- • 12.8 Cycle 20 Calibration Program
- • 12.9 Cycle 21 Calibration Program
- • 12.10 Cycle 22 Calibration Program
- • 12.11 Cycle 23 Calibration Program
- • 12.12 Cycle 24 Calibration Program
- • 12.13 Cycle 25 Calibration Program
- • 12.14 Cycle 26 Calibration Program
- • 12.15 Cycle 27 Calibration Program
- • 12.16 Cycle 28 Calibration Program
- • 12.17 Cycle 29 Calibration Program
- • 12.18 Cycle 30 Calibration Program
- • 12.19 Cycle 31 Calibration Program
- • 12.20 Cycle 32 Calibration Program
- • 12.21 Cycle 33 Calibration Program
- Chapter 13: COS Reference Material
- • Glossary

